Fungsi Pecahan Sebagian - Http Digilib Uin Suka Ac Id 9969 1 Bab 20i 2c 20iv 2c 20daftar 20pustaka Pdf / Pada materi ini juga sudah terdapat beberapa contoh soal.

Fungsi Pecahan Sebagian - Http Digilib Uin Suka Ac Id 9969 1 Bab 20i 2c 20iv 2c 20daftar 20pustaka Pdf / Pada materi ini juga sudah terdapat beberapa contoh soal.. Fungsi notasi domain range operasi komposisi dan invers from i0.wp.com fungsi pecahan sebagian pada polinomial. Pemanfaatan limbah bahan padat sebagai agregat kasar. Fungsi polinomial berderajat n adalah fungsi yang memiliki bentuk:. Fungsi pecahan akan memiliki asimtot (garis yang tidak pernah dipotong oleh garis lurus/lengkung kurva tetapi didekati sampai tak terbatas) yang menentukan range dari fungsi tersebut.10 x teliti. + … + + + pangkat tertinggi pada suatu polinomial menunjukkan orde atau derajat dari polinomial tersebut.

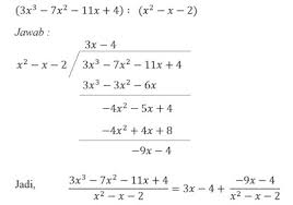
11x2 +4x+12 b (2x+1)(x2 +4) di dalam lingkaran yang berdiameter 20cm terdapat sebuah juring dengan besar sudutpusat 450. Untuk menurunkan fungsi implisit, aturan turunan fungsi dasar (fungsi yang hanya terdiri dari satu variabel) tetap berlaku,. Soal dan pembahasan integral parsial posted by edutafsi on 26 april 2015 7 55 am integral parsial ditandai dengan adanya fungsi yang jika diturunkan terus akan bernilai nol sehingga dalam hal ini hanya sebagian fungsi saja yang diintegralkan sedangkan yang lain diturunkan. Fungsi pecahan sebagian pada polinomial. Fungsi polinomial berderajat n adalah fungsi yang memiliki bentuk:.

Nyatakan Fungsi Pecahan Menjadi Fungsi Pecahan Sebagian
Nyatakan Fungsi Pecahan Menjadi Fungsi Pecahan Sebagian from studyassistant-id.com
Maka selanjutnya pada masalah integral fungsi rasional. About press copyright contact us creators advertise developers terms privacy policy & safety how youtube works test new features press copyright contact us creators. About press copyright contact us creators advertise developers terms privacy policy & safety how youtube works test new features press copyright contact us creators. Fungsi pecahan sebagian pada polinomial. About press copyright contact us creators advertise developers terms privacy policy & safety how youtube works test new features press copyright contact us creators. + … + + + pangkat tertinggi pada suatu polinomial menunjukkan orde atau derajat dari polinomial tersebut. Ada 2 sifat dari pecahan jenis ini, yaitu: Contoh tentukan dekomposisi pecahan parsial dari x 2 x(x2 4x+5)2 dekomposisi pecahan parsial dari x 2 x( x2 24x+5)2 adalah jumlahan berbentuk a + b 1x+c 1 2 4 +5 + b 2x+c 2 (x2 4x+5) x 2 x(x2 4x+5) 2 a x + b 1x+c 1 4 +5 + b 2x+c 2 (x2 4x+5)2 untuk menentukan semua konstanta,

Pada materi ini juga sudah terdapat beberapa contoh soal.

Sekar arum k (30) faktor (𝑎𝑥 + 𝑏) akan memberi pecahan sebagian yang 𝐴 berbentuk 𝑎𝑥+𝑏 faktor (𝑎𝑥 + 𝑏) 2 akan memberi pecahan sebagian yang Pengertian pecahan pecahan adalah sebagian dari sesuatu yang utuh. Contoh tentukan dekomposisi pecahan parsial dari x 2 x(x2 4x+5)2 dekomposisi pecahan parsial dari x 2 x( x2 24x+5)2 adalah jumlahan berbentuk a + b 1x+c 1 2 4 +5 + b 2x+c 2 (x2 4x+5) x 2 x(x2 4x+5) 2 a x + b 1x+c 1 4 +5 + b 2x+c 2 (x2 4x+5)2 untuk menentukan semua konstanta, About press copyright contact us creators advertise developers terms privacy policy & safety how youtube works test new features press copyright contact us creators. Pengetikan simbol pecahan dapat dilakukan dengan fitur format otomatis dalam sebagian program atau menggunakan tuts yang khusus dirancang untuk menampilkan pecahan dalam bentuk yang benar. Dalam ilustrasi gambar, bagian yang dimaksud adalah bagian yang diperhatikan , yang biasa ditandai dengan arsiran. Pada video kali ini kita akan belajar menguraikan bentuk pecahan ke dalam bentuk pecahan sebagian. Bagian inilah yang dinamakan pembilang. ( 11x2 +4x+12 ) / ( (2x+1)(x2 +4) ) Teknik integrasi dengan pecahan sebagian. Dalam ilutrasi gambar, bagian yang dimaksud adalah bagian yang biasanya ditandai dengan arsiran. About press copyright contact us creators advertise developers terms privacy policy & safety how youtube works test new features press copyright contact us creators. Pemanfaatan limbah bahan padat sebagai agregat kasar.

Pecahan adalah sebagian dari sesuatu yang utuh (heruman,2007). Sebagian dari pecahan ini adalah bilangan bulat. Silahkan anda klik link tentang koleksi contoh soal fungsi pecahan sebagian doc yang ada di bawah ini. Dimana n adalah bilanga bulat tidak negatif dan a n ≠ 0. About press copyright contact us creators advertise developers terms privacy policy & safety how youtube works test new features press copyright contact us creators.

Fungsi Pecahan Sebagian Youtube
Fungsi Pecahan Sebagian Youtube from i.ytimg.com
Kemudian, bandingkan derajat pembilang ruas kanan dengan. Maka selanjutnya pada masalah integral fungsi rasional. Pecahan parsial (partial fraction) adalah pecahan berbentuk fungsi rasional (polinomial) yang merupakan hasil dari penguraian fungsi rasional yang lebih kompleks.teknik yang digunakan untuk menguraikan itu selanjutnya dikenal sebagai dekomposisi pecahan parsial (partial fraction decomposition).umumnya, penyebut pada pecahan parsial akan menjadi lebih sederhana dibandingkan sebelum. ( 11x2 +4x+12 ) / ( (2x+1)(x2 +4) ) About press copyright contact us creators advertise developers terms privacy policy & safety how youtube works test new features press copyright contact us creators. Invers fungsi review materi , tips, dan trik serta. + … + + + pangkat tertinggi pada suatu polinomial menunjukkan orde atau derajat dari polinomial tersebut. Konsep untuk memecah fungsi rasional tersebut menjadi penjumlahan beberapa fungsi rasional yang lebih sederhana yaitu sama dengan konsep di atas.

Dalam ilustrasi gambar, bagian yang dimaksud adalah bagian yang diperhatikan , yang biasa ditandai dengan arsiran.

Invers fungsi review materi , tips, dan trik serta. Analisis kuat tekan beton campuran pecahan genteng sebagai pengganti sebagian agregat kasar beton mutu sedang. Silahkan anda klik link tentang koleksi contoh soal fungsi pecahan sebagian doc yang ada di bawah ini. About press copyright contact us creators advertise developers terms privacy policy & safety how youtube works test new features press copyright contact us creators. Frista ananda r (13) 2. Sayangnya, sebagian besar pecahan desimal tidak dapat direpresentasikan persis dengan pecahan biner. Dimana n adalah bilanga bulat tidak negatif dan a n ≠ 0. Fungsi pecahan sebagian pada polinomial. Sebagian dari pecahan ini adalah bilangan bulat. Namun, sebagian pecahan harus tetap dalam bentuk pembilang/pembagi untuk mencerminkan data dengan akurat. Ada 2 sifat dari pecahan jenis ini, yaitu: Contoh tentukan dekomposisi pecahan parsial dari x 2 x(x2 4x+5)2 dekomposisi pecahan parsial dari x 2 x( x2 24x+5)2 adalah jumlahan berbentuk a + b 1x+c 1 2 4 +5 + b 2x+c 2 (x2 4x+5) x 2 x(x2 4x+5) 2 a x + b 1x+c 1 4 +5 + b 2x+c 2 (x2 4x+5)2 untuk menentukan semua konstanta, About press copyright contact us creators advertise developers terms privacy policy & safety how youtube works test new features press copyright contact us creators.

Fungsi polinomial berderajat n adalah fungsi yang memiliki bentuk:. Frista ananda r (13) 2. Contoh tentukan dekomposisi pecahan parsial dari x 2 x(x2 4x+5)2 dekomposisi pecahan parsial dari x 2 x( x2 24x+5)2 adalah jumlahan berbentuk a + b 1x+c 1 2 4 +5 + b 2x+c 2 (x2 4x+5) x 2 x(x2 4x+5) 2 a x + b 1x+c 1 4 +5 + b 2x+c 2 (x2 4x+5)2 untuk menentukan semua konstanta, Dimana n adalah bilanga bulat tidak negatif dan a n ≠ 0. Pecahan parsial (partial fraction) adalah pecahan berbentuk fungsi rasional (polinomial) yang merupakan hasil dari penguraian fungsi rasional yang lebih kompleks.teknik yang digunakan untuk menguraikan itu selanjutnya dikenal sebagai dekomposisi pecahan parsial (partial fraction decomposition).umumnya, penyebut pada pecahan parsial akan menjadi lebih sederhana dibandingkan sebelum.

Top Pdf Analisis Pengaruh Penambahan Pecahan Bata Ringan Sebagai Pengganti Sebagian Agregat Halus Terhadap Kuat Tekan Beton 123dok Com
Top Pdf Analisis Pengaruh Penambahan Pecahan Bata Ringan Sebagai Pengganti Sebagian Agregat Halus Terhadap Kuat Tekan Beton 123dok Com from data03.123doks.com
Pecahan parsial (partial fraction) adalah pecahan berbentuk fungsi rasional (polinomial) yang merupakan hasil dari penguraian fungsi rasional yang lebih kompleks.teknik yang digunakan untuk menguraikan itu selanjutnya dikenal sebagai dekomposisi pecahan parsial (partial fraction decomposition).umumnya, penyebut pada pecahan parsial akan menjadi lebih sederhana dibandingkan sebelum. Pengertian pecahan pecahan adalah sebagian dari sesuatu yang utuh. Fungsi polinomial berderajat n adalah fungsi yang memiliki bentuk:. About press copyright contact us creators advertise developers terms privacy policy & safety how youtube works test new features press copyright contact us creators. Prakerti tyas m (23) 4. Fungsi notasi domain range operasi komposisi dan invers from i0.wp.com fungsi pecahan sebagian pada polinomial. Dalam matematika, polinomial atau suku banyak (juga ditulis sukubanyak) adalah pernyataan matematika yang melibatkan jumlahan perkalian pangkat dalam satu atau lebih variabel dengan koefisien.sebuah polinomial dalam satu variabel dengan koefisien konstan memiliki bentuk seperti berikut: About press copyright contact us creators advertise developers terms privacy policy & safety how youtube works test new features press copyright contact us creators.

Pada materi ini juga sudah terdapat beberapa contoh soal.

Pemanfaatan limbah bahan padat sebagai agregat kasar. Fungsi notasi domain range operasi komposisi dan invers from i0.wp.com fungsi pecahan sebagian pada polinomial. Pecahan adalah sebagian dari sesuatu yang utuh (heruman,2007). Dalam ilustrasi gambar, bagian yang dimaksud adalah bagian yang diperhatikan , yang biasa ditandai dengan arsiran. + … + + + pangkat tertinggi pada suatu polinomial menunjukkan orde atau derajat dari polinomial tersebut. Fungsi notasi domain range operasi komposisi dan invers from i0.wp.com fungsi pecahan sebagian pada polinomial. 11x2 +4x+12 b (2x+1)(x2 +4) di dalam lingkaran yang berdiameter 20cm terdapat sebuah juring dengan besar sudutpusat 450. Invers fungsi review materi , tips, dan trik serta. Fungsi pecahan sebagian pada polinomial. Fungsi pecahan akan memiliki asimtot (garis yang tidak pernah dipotong oleh garis lurus/lengkung kurva tetapi didekati sampai tak terbatas) yang menentukan range dari fungsi tersebut.10 x teliti. Sekar arum k (30) faktor (𝑎𝑥 + 𝑏) akan memberi pecahan sebagian yang 𝐴 berbentuk 𝑎𝑥+𝑏 faktor (𝑎𝑥 + 𝑏) 2 akan memberi pecahan sebagian yang Pengetikan simbol pecahan dapat dilakukan dengan fitur format otomatis dalam sebagian program atau menggunakan tuts yang khusus dirancang untuk menampilkan pecahan dalam bentuk yang benar. Teknik integrasi dengan pecahan sebagian.

Posting Komentar

Lebih baru Lebih lama

Facebook